Makalah Pendidikan Fisika

Assalamu'alaikum.wr.wb

Hello Everyone!

Berikut ini merupakan link tugas makalah beserta Powerpoint terkait " METODE TERBUKA - Iterasi Satu Titik Sederhana, Newton-Raphson” untuk mata kuliah fisika komputasi.

Semoga bermanfaat!

Link Makalah: Download Makalah Fisika Komputasi

Link PoerPoint: Download File Presentasi

Bagian Isi Makalah

MAKALAH

METODE TERBUKA 

“Iterasi Satu Titik Sederhana, Newton-Raphson”


BAB I 

PENDAHULUAN

  1. Latar Belakang

Persoalan yang melibatkan model matematika sering muncul dalam berbagai disiplin ilmu pengetahuan, seperti bidang Fisika, Kimia, Ekonomi,atau pada rekayasa (enginering) seperti Teknik Sipil, Teknik Mesin, dansebagainya. Seringkali model matematika tersebut muncul dalam bentuk yangrumit atau tidak dapat diselesaikan dengan metode biasa, sehingga solusi yang digunakan adalah Metode Numerik. Metode Numerik adalah teknikyang digunakan untuk memformulasikan persoalan matematik sehingga dapatdipecahkan dengan operasi perhitungan. 

Metode numerik digunakan karen amodel matematika yang sering muncul yang terkadang tidak dapat diselesaikan hanya dengan metode analitik semata. Seperti halnya untuk menentukan solusi persamaan (akar persamaan) yang berbentuk f (x) = 0. Sebuah bilangan dianggap akar dari sebuah persamaan jika seaindainya bilangan tersbut dimasukkan kedalam persamaan, maka nilai persamaan itu akan sama dengan nol atau dalam pengertian, akar sebuah persamaan f (x) = 0 adalah nilai x yang menyebabkan nilai f (x)  sama dnegan nol. Persamaan yang bentuknya sederhana seperti persamaan linier dan persamaan kuadrat dapat diselesaikan secara mudah dengan cara analitik.

Sehingga jika suatu persoalan sudah sangat sulit atau tidak mungkin lagi menggunakan metode analitik, sehingga membutuhkan solusi lain yaitu digunakan metode numerik. Metode numeri ini disajikann dalam bentuk algoritma-algoritma yang dapat dihitung secara mudah dan efisien. Pendekatan yang digunakan dalam metode numerik merupakan pendektaan analisis matematis, dengan grafis dan teknik perhitungan yang mudah.

Ada dua pendekatan yang dapat digunakan pada penyelesaian persamaan non linier, yaitu metode tertutup dan metode terbuka. Metode tertutup atau Bracketing Method, merupakan metoda yang hanya membutuhkan 2 tebakan awal untuk mengira-ngira akar dari sebuah persamaan. Sebuah fungsi sesuai jenisnya akan berubah sekitar harga suatu akar. Akar sebenarnya dari persamaan tersebut nantinya akan berada di antara dua angka yang telah ditebak tersebut. Sementara itu metode terbuka merupakan metode yang tidak membutuhkan batas bawah dan batas atas pada perkiraan nilai awalnya. Karena hal itu, bila tebakan awal tepa, mala hasilnya akan mendekati akar yang  sesungguhnya dnegan kecepatan lebih cepat dari metode bisection. Namun, dalam pembahasan makalah ini hanya memokuskan pada metode terbuka : metode Newton-Raphson

  1. Rumusan Masalah

Berdasarkan latar belakang tersebut, maka didapatkan rancangan rumusan masalah sebagai berikut:

  1. Bagaimanakah persamaan untuk iterasi ?

  2. Bagaimanakah persamaan dalam 2 grafik untuk mencari solusi persamaan?

  3. Bagaimanakah metode iterasi Newton-Raphson untuk mencari akar persamaan 

  4. Bagaimanakah kriteria berhenti iterasi ?

  5. Bagaimanakah jebakan pada metode Newton-Raphson ?

  1. Tujuan

Berdasarkan rumusan masalah tersebut diharapkan dapat mencapai tujuan, diantaranya:

  1. Memodifikasi persamaan untuk iterasi 

  2. Merepesentasikan persamaan dalam 2 grafik untuk mencari solusi persamaan 

  3. Menerapkan metode iterasi Newton-Raphson untuk mencari akar persamaan 

  4. Menentukan kriteria berhenti iterasi 

  5. Mengetahui jebakan pada metode Newton-Raphson




BAB II 

ISI DAN PEMBAHASAN

  1. Modifikasi Persamaan 

Metode iterasi titik tetap disebut juga metode iterasi sederhana, metode langsung, atau metode substitusi beruntun. Metode iterasi titik tetap adalah metode yg memisahkan x dengan sebagian x yang lain sehingga diperoleh: x = g(x).

Transformasi ini dapat dikerjakan dengan manipulasi aljabar atau dengan penambahan sederhana x ke kedua ruas pada persamaan asalnya (Chapra, 1985) . 

Metode iterasi titik tetap ( iterasi sederhana ) merupakan metode yang memisahkan antara X dengan X yang lain, sehingga mendapatkan x=g(x). Seperti contoh bahwa :

x-ex=0

x=exatau gx=ex

Kondisi interes aa berhenti apabila :

Xr+1-Xr<ε

Apabila menggunakan galat relatif, maka kriteria berhentinya menjadi

Xr+1-XrXr+1<δ

Dengan dan yang telah ditetapkan sebelumnya. (Munir, 2010, hal. 101)


Contoh:

x2-2x-3=0

⟺xx-2=3

⟺x=3x-2

Dalam hal ini, g(x)=3x-2

Prosedur iterasinya adalah xr+1=3xr-2.

Ambil terkaan awal x0=4.



Tabel iterasinya:

r

xr

xr+1-xr

0

4,000000

2,500000

1

1,500000

7,500000

2

-6,000000

5,625000

3

-0,375000

0,888158

4

-1,263158

0,343803

5

-0,919355

0,108269

6

-1,027624

0,036748

7

-0,990876

0,012175

8

-1,003051

0,004066

9

-0,998984

0,001355

10

-1,000339

0,000452

11

-0,999887

0,000151

12

-1,000038

0,000051

13

-0,999987

0,000017

14

-1,000004

0,000005

15

-0,999999

0,000001

16

-1,000000

0,000000

17

-1,000000

0,000000

Hampiran akar x = -1,000000.

(Proses iterasinya konvergen berosilasi yang membentuk spiral mendekati hampiran akar x = -1,000000).

Salah satu Program MATLAB dalam permasalahan iterasi sederhana :

%% Program Metode Penyelesaian persamaan nonlinier – Metode Iterasi Titik Tetap

%

% Input

% fungsi non linier yang didefinisikan dalam mfile f.m

% nilai awal pertama dan nilai awal kedua

% galat toleransi

% iterasi maksimal

%

% Output

% iterasi, solusi dan galat

%  

clear

clc

disp(' Metode Iterasi titik tetap');

disp('Tekan Enter untuk lanjut');

pause

clc

g=input(' fungsi g(x) :');

x0=input(' Masukkan nilai awal :');

galat1=input(' Masukkan galat toleransi :');

imax=input(' Masukkan iterasi maksimal :');

fprintf('\n Iterasi            x                g(x)               Gradien         galat\n');

iter=0;

for k=1:imax

    iter=iter+1;

    x1=feval(g,x0);

    gradien=(feval(g,x1)-feval(g,x0))/(x1-x0);

    galat=abs((x1-x0)/x1);

    y=feval(g,x1);

    x0=x1;

    solusi(k,1)=iter;

    solusi(k,2)=x1;

    solusi(k,3)=gradien;

    solusi(k,4)=galat;

   fprintf('\n %10.0f      %6.10f      %6.10f     %6.10f    %6.10f\n', [iter;x0;y;gradien;galat])

    if ((y==0)||(galat<galat1)), break, end

    if abs(gradien)>1

        disp(' Iterasi akan divergen '), break,end

end;

fprintf(' Akarnya Adalah = %6.10f\n',x0)


function y=g(x)

y=(x^2+15)/8;


  1. Metode 2 Grafik 

Grafik atau plot pada MATLAB berfungsi untuk merepresentasikan data sehingga lebih mudah untuk dilihat secara keseluruhan. Cara membuat grafik di MATLAB dapat dilakukan dengan berbagai formulasi command dengan fungsi yang beragam. Secara umum terdapat 2 jenis plot yaitu plot 2 Dimensi dan plot 3 Dimensi. 

Pada MATLAB, untuk membuat plot dua dimensi anda dapat menggunakan perintah plot yang dapat diformulasikan dalam vektor x dan y sebagai berikut.

Plot (x,y)

Vektor x dan y harus mempunyai ukuran yang sama. Vektor x merupakan sumbu horizontal dan vektor y merupakan sumbu vertikal dari plot yang dibuat.

 Contoh:

Dengan iterasi satu titik sederhana, tentukan akar dari fx=e-x-x

Jawab:

fx=e-x-x

Menjadi

x=e-x

xi+1=e-xi

Sehingga :

fx=e-x-x

f1(x)=x

f2x=e-x

Gambar 1. Akar persamaan yang dapat dicari pada perpotongan garis menggunakan metode 2 grafik

Untuk membuat atau menampilkan lebih dari satu persamaan dalam satu grafik pada Matlab yaitu dengan menggunakan plot command dapat diformulasikan sebagai berikut:

Plot (x,y1,argumen1,x,y2,Argumen2,x,y3,Argumen3, …,x,yn, Argumen N)

Dengan x adalah domain utama baik sumbu horizontal, anda juga dapat menggunakan y sebagai domain utama sebagai sumbu vertikal.

Argumen adalah line specifiers dan marker specifier untuk membedakan setiap grafik,

Misalkan untuk membuat grafik dari 3 fungsi berikut yang masing-masing merupakan turunan pertama dan kedua dari fungsi awal, sebagai berikut:

y=x4+3x3+7x2

dy=4x4+9x2=14x

ddy=12x2+18x+14

Sehingga syntax yang digunakan sebagai berikut:

>> x = [-1:0.01:1];

>> y = x.^4+3.*x.^3+7.*x.^2;

>> dy = 4.*x.^3+9.*+18.*x+14;

>> ddy = 12.*x.^2+18.*x+14;

>> plot(x,y,'-r',x,dy,':b',x,ddy,'-g');

Sehingga diperoleh plot sebagai berikut:

Gambar 2. Plot dari pencarian akar persamaan menggunakan metode 2 grafik

Buatlah grafik = sin ,= sin2,= sin(4) pada selang 02 

Untuk  membuat  grafik  dari  ketiga  fungsi  di  atas,  maka  command  yang 

digunakan adalan hold on yang berfungsi untuk menahan gambar sebelumnya 

agar tak hilang atau terhapus karena tertimpa gambar yang baru.

Buatlah grafik = sin ,= sin2,= sin(4) pada selang 02 

Untuk  membuat  grafik  dari  ketiga  fungsi  di  atas,  maka  command  yang 

digunakan adalan hold on yang berfungsi untuk menahan gambar sebelumnya 

agar tak hilang atau terhapus karena tertimpa gambar yang baru.

Buatlah grafik = sin ,= sin2,= sin(4) pada selang 02 

Untuk  membuat  grafik  dari  ketiga  fungsi  di  atas,  maka  command  yang 

digunakan adalan hold on yang berfungsi untuk menahan gambar sebelumnya 

agar tak hilang atau terhapus karena tertimpa gambar yang baru


  1. Program Sumber untuk Metode Iterasi

Program berikut menggunakan algoritma metode Iterasi untuk menyelesaikan persamaan non-linear. Program akan dicoba untuk menyelesaikan persamaan:

ex+x2-3x-2=0 atau dalam bentuk x-(ex+x2-2)/3=0

Dari bentuk ini diambil fungsi  :

gx=(ex+x2-2)/3

  1. Deklarasi Program Sumber dalam Bahasa C+++

// Program 1.3a

// Metode Iterasi

#include <stdio.h>

#include <math.h>


/* Daftar variabel

   x0 = harga awal

   tol = toleransi

   max_iter = jumlah iterasi maksimum */


float x0,tol;

int max_iter;


float g(float x)

{

return (x*x + exp(x)-2)/3;

}


void main ()

{

int it;

float epsilon,xb;

printf ("Harga awal = "); scanf ("8f",&x0);

printf ("Toleransi = "); scanf ("8f",&tol);

printf ("Jumlah iterasi maksimum = "); scanf ("8d",&max_iter);

it = 0;

printf("It. x g(x) f(x)\n");


do

{

it = it + 1;

xb = g(x0);

epsilon = fabs (xb-x0);

print("83d 88.5f 88.2e\n*,it,x0,xb,epsilon);

x0 = xb;

}

while (it <= max_iter && epsilon > tol);

if (it<=max_iter)

{

printf ("Toleransi terpenuhi\n");

printf ("Hasil akhir = 8g\n",xb);

}

else printf ("Toleransi tidak terpenuhi\n");

}


  1. Metode Newton-Raphson 

  1. Aplikasi metode Newton -Raphson pada  pencarian akar secara Iteratif.

Pembahasan metode numerik untuk mencari hampiran akar persamaan memerlukan be- berapa pengertian dasar sebagai berikut.

Definisi 1 (Akar Persamaan, Pembuat Nol Fungsi) (Mathews, 1992: 55)

Misalkan f adalah suatu fungsi kontinyu. Setiap bilangan r pada domain f yang memenuhi  disebut akar persamaan , atau juga disebut pembuat nol fungsi f (x ) . Apabila tidak menimbulkan kerancuan, r sering dikatan sebagai akar f .

Definisi 2 (Derajad Akar Persamaan) (Atkinson, 1993: 94; Mathews, 1992: 76)

Misalkan r adalah akar persamaan  Jika terdapat bilangan asli m dan fungsi kontinyu h(x ) dengan h(r ) ¹0 , sedemikian hinggaf  (x ) dapat dinyatakan sebagai

(1)

maka r disebut akar berderajad m

Dari (1) terlihat bahwa jika r pembuat nol f(x) yang berderajad m maka,

fr=f'r=…=fm.1r=0, dan fm(r)1 0    

Jika m = 1, maka r disebut akar sederhana. Jika m>1, maka r disebut akar ganda. Untuk m = 2, maka r disebut akar double, dst.

Definisi 3 (Derajad Kekonvergenan) (Atkinson, 1993: 87; Mathews, 1992: 77)

Misalkan x0 ,x1, x2,…. Suatu barisan kovergen ke r dan misalkan en = r-xn. Apabila terdapat sebuah bilangan m dan sebuah konstanta C1 0, sedemikian hingga

|en+1||en|m=C,      

Maka m disebut derajad kekovergenan barisan tersebut dan  disebut konstanta galat asimptotoik. Khususnya, untuk m = 1,2,3  kekovergenannya berturut – turut disebut linier, kuadratik dan kubik.


Definisi 4 (Titik Tetap Fungsi & Iterasi Titik Tetap) (Atkinson, 1993: 84; Mathews, 1992: 45)

Misalkan g adalah suatu fungsi. Bilangan x pada domain g dikatakan merupakan titik tetap g jika memenuhi x = g(x ) . Selanjutnya, iterasi

Xn+1=gxn,  n=0,1,2,… (2)

disebut iterasi titik tetap.

Definisi 5 (Iterasi Newton -- Raphson) (Atkinson, 1993: 69; Mathews, 1992: 72)

Misalkan fungsi f mempunyai turunan pertama iterasi  f ' . Barisan  x0, x1,  x2… yang diperoleh dari iterasi

Xn+1=xnf(xn)f'(xn)  n=0,1,2,… (3)

Disebut barisan iterasi Newto. Fungsi g didefinisikan sebagai

gx=x-f(x)f'(x)   (4)

Disebut fungsi iterasi Newton – Raphson.

Terdapat hubungan antar persamaan f(x) = 0 dan titik tetap fungsi g. Dari 4 terlihat bahwa jika f(r) = 0, maka r = g(r). Metode Newton dapat dipandang sebagai contoh khusus metode titik tetap ( conte & de Boor, 1981, 79).

3.2   Penurunan Rumus Iterasi Newton – Raphson

Iterasi Newton – Raphson berawal dari sebuah hampiran awal untuk akar r , kemudian menghitung hampiran selanjutnya dengan cara sebagai berikut. 

  1. Misalkan xn adalah hampiran awal pada langkah ke n, n = 1,2,3…

  2. Hitung gradient garis singgung terhadap kurva y = f(x) dititik ( xn, f(xn), yakni f’(xn) dan tentukan persamaan garis singgungnya, yakni y = f’(xn)(x- xn) + f(xn)

  3. Hampiran berikutnya adalah absis titik potong garis singgung tersebut dengan sumbu –x, yakni

Xn+1=xnf(xn)f'(xn)   (5)

Langkah – langkah tersebut terlihat pada gambar berikut

Gambar 1. Iterasi Newton - Raphson

Rumus iterasi (5) juga dapat diturunkan dari deret Taylor f(x) disekitar xn , yakni :

fx=fxn+x-xnf'xn+12 ( x- xn)2 fnxn+… (6)

Dan mengasumsikan xn dan hampiran berikutnya, xn cukup dekat ke akar r, dan mengabaikan suku ke -3 dan seterusnya pada ruas kana (6) akan diperoleh (5). Dalam hal ini fungsi f(x) telah dihampiri oleh garis singgung dititik (xn,f(xn)). Jadi pada prinsipnya sama dengan pendekatan geometris sebelumnya.

  1. Analisis Kekonvergenan Metode Newton – Raphson

Sebelum membahas kekonvergenan iterasi Newton – Raphson, berikut akan ditinjau sebuah teorema mengenai iterasi titik tetap, yang digunakan dalam pembuktian selanjutnya.

Teorema 1 ( pemetaan konstraksi ) ( Atkinson, 1993: 84 – 85 )

Misalkan g(x) dan g’(x) kontinyu pada interval [a,b] dan memenuhi

X È‹ [a,b] b a £ g(x) £ b (7)

Selanjutnya misalkan 

l=g'x<1,   (8)


Maka, terdapat sebuah akar tunggal r È‹ [a,b] yang memenuhi r = g(r)

Untuk setiap hamparan awal x0 È‹ [a,b] iterasi titik teap (2) kovergen ke r

Untuk setiap n3 2 berlaku untuk r-xn £ln1-l |x0-x1|

r-xn+1r-xn =g'(r), sehingga untuk x, yang cukup dekat dengan r berlaku 

r-xn+1g'(r)(r-xn)    (9)


Bukti 

Definisi fungsi fx=x-gx. Karena g(x) kontinyu pada [a,b], maka f(x) juga kontinyu pada interval tersebut.selanjutnya dari (7) berlaku f(a) £ 0 dan f(a) £ 0, sehingga menurut teorema nilai antara terdapa r È‹ [a,b] yang memenuhi f(r) = 0 atau r = g(r). Selanjutnya, andaikan terdapat dua buah nilai r1 dan r2 yang memenuhi r2 =g(r2) maka menurut teorema nilai rata – rata terhadap c antara a dan yang memenuhi

g'cg(r2)- g(r1)r2-r1= r2-r1r2-r1=1

Hal ini bertentangan dengan hipotesis (8)

Dari (7) untuk setiap hampiran awal x0 È‹ [a,b], nilai – nilai xn yang dihasilkan oleh iterasi titik tetap (2) juga terletak pada interval [a,b]. Selanjutnya dengan menggunakan teorema nilai rata – rata diperoleh

r-xn+1=gr-gxn=g'cn-r-xn,    (10)

Untuk suatu nilai cn antara r dan xn. Akan tetapi, karean r dan xn pada [a,b] maka

r-xn+1 £ l r-xn£ l2 r-xn-1£…£ln+1 |r-x0    (11)

Karena l < 1,maka ruas kanan (11) kovergen ke 0 yang berakibat xke r.

Dengan menggunakan ketidaksamaan segitiga (11), diperoleh

r-x0£r-x1+x1-x0,

               £lr-x0+x1-x0,

1-lr-x0 £x1-x0,                            

r-x0£11-lx1-x0,

Sehingga r-xn£1n1-lx0-x1

Oleh karena xn kovergen ke r dan cn antara r dan xn maka cn  juga kovergen ke r, sehingga dari (10) diperoleh 

r-xn+1nr-xn=g'(r)     (12)

Dari hipotesis (8) dapat diketahui bahwa |g’(r)| < 1. Kondisi ini sangat erat kaitannya dengan kekovergenan iterasi titik tetap (2). Akibat berikut memberikan syarat yang lebih mudah daripada syarat pada teorema 1 untuk menjamin kekovergenan iterasi (2)

Akibat 1 ( Syarat kekovergenan Iterasi Titik Tetap)

Misalkan g(x) dan g(‘x) kontinyu pada interval [c,d] yang memuat titik tetap r. Jika |g’(r)| <1, maka terdapat bilangan d>0 sedemikian hingga untuk setiap hampiran awal x0  È‹ Id =]r- d,r] È‹ [c,d] iterasi (2) kovergen ke r


Hasil (12) menunjukan bahwa iterasi titik tetap memiliki kekovergenan linier.

Akibat 2 ( Kekovergenan Tingkat Tinggi Iterasi Titik Tetap)

Misal iterasi titik tetap(2) kovergen ke titik tetap fungsi g(x), yakni r. Jika fungsi g(x) memenuhi 

G’(r) = gn(r) = …+ g(m-1) = 0, dan g(m)(r)1 0, m3 1,

Maka iterasi titik tetap tersebut memiliki derajad kekovergenan m.


Bukti : 

Perhatikan ekspansi g(xn) disekitar r, yakni


dengan cn suatu nilai antara dan n n c x r . Dari hipotesis mengenai fungsi g (x) , dapat diketahui bahwa m suku pertama pada ruas kanan persamaan (13) bernilai nol, sehingga diperoleh

Yang berarti bahwa iterasi Titik Tetap memiliki derajad kekonvergenan m. Berikut ditinjau kekonvergenan iterasi Newton – Raphson (5). Pertama akan ditinjau kasus r merupakan akar sederhana, yakni f'(r)¹ 0. Dengan kata lain, titik (0, f(r )) bukan merupakan titik singgung kurva y f (x) = pada sumbu- x. Telah diasumsikan bahwa f kontinyu. Misalkan f memiliki setidaknya dua turunan pertama yang kontinyu pada suatu interval I yang memuat akar r . Dari definisi fungsi iterasi Newton – Raphson (4) diperoleh

Selanjutnya, karena f , f ' , dan f " kontinyu, maka g ' juga kontinyu. Oleh karena g r'( ) 0, = maka menurut Teorema Nilai Antara, dapat dicari suatu interval [r-d,r + d ] dengan d> 0, sedemikian hingga |g'(x)|< 1 untuk semua x.ÃŽ I d Sekarang akan dipandang iterasi Newton (5) sebagai iterasi titik tetap terhadap fungsi g :


Oleh karena |g'(x)|< 1 untuk semua xÃŽ Id , maka berdasarkan Akibat 1, barisan{xn}0¥  yang dihasilkan oleh iterasi (17) konvergen ke r apabila x0 ÃŽ Id . Hasil di atas dapat disimpulkan ke dalam teorema sebagai berikut.

Teorema 2 (Syarat Kekonvergenan Iterasi Newton – Raphson)

 Misalkan f memiliki setidaknya dua turunan pertama yang kontinyu pada suatu interval I yang memuat akar sederhana r , di mana f(r)= 0 . Jika f'(r) 0 ¹ , maka terdapat suatu interval [r-d ,r + d ] dengan d>0 sedemikian hingga barisan{ xn}0¥ yang dihasilkan oleh iterasi (17) konvergen ke r apabila x0 ÃŽ Id

Gambar 2. Kekonvergenan Iterasi Titik Tetap

Bilangan d dapat dipilih sedemikian hingga

Akan tetapi, nilai r mungkin tidak diketahui (sebab jika sudah diketahui, tidak perlu lagi digunakan metode numerik!). Oleh karena itu, dalam praktek untuk menjamin kekonvergenan iterasi (17) dapat dicari hampiran awal x0 pada sebuah interval terkecil I yang memuat r (dapat diperkirakan dengan menggambar kurva y = f( x ) yang memenuhi g'x|<  1

Secara visual hal ini dapat diperlihatkan pada Gambar 2. Teorema berikut memberikan alternatif lain untuk menentukan hampiran awal yang menjamin konvergensi iterasi Newton (Conte & de Boor, 1981: 104 – 1-5). 


Teorema 3 (Syarat Kekonvergenan Iterasi Newton – Raphson)

Jika kedua turunan pertama f (x ) kontinyu pada interval berhingga [a, b] dan f (x ) memenuhi syarat-syarat:

maka iterasi Newton akan konvergen secara tunggal ke akar r  ÃŽ [a ,b ], di mana f(r)= 0 , untuk setiap hampiran awal x0 ÃŽ [a ,b ].

Syarat (i) menjamin adanya akar pada [a, b] (Teorema Nilai Antara). Bersama syarat (ii) dijamin adanya akar tunggal pada [a, b] (Teorema Nilai Rata-rata). Syarat (iii) menyatakan bahwa pada [a, b] kurva y = f(x) bersifat cekung ke atas atau ke bawah dan juga,  syarat (ii) berarti f '(x ) monoton positif atau monoton negatif jadi f (x ) monoton naik atau monoton turun) pada [a, b]. Akibatnya, titik potong garis singgung kurva di (a,f(a)) dengan sumbu-x berada di kanan a dan titik potong garis singgung kurva di (b,f(b)) dengan sumbu-x berada di kiri b. Karena syarat (iv), kedua titik potong berada pada interval [a, b]. Dengan demikian, iterasi Newton akan menghasilkan barisan hampiran pada [a, b].

Gambar 3. Iterasi Newton untuk fungsi cekung dengan turunan monoton

Tanpa kehilangan sifat umum, misalkan f (a ) < 0 dan f "(x )³ 0  pada [a, b]( kurva y= f( x)  bersifat cekung menghadap ke atas, seperti pada  Gambar 3). Dari iterasi Newton

x1=x0-f(x0)f'(x0)


  1. jika  r < x0 £ b , maka keempat syarat di atas dipenuhi pada interval [a ,x0 ] , sehingga  r £ x1 <  x0 dan iterasinya akan konvergen secara menurun ke r ; 

  2. (ii) jika a £ x0 < r , maka r < x1 £ b , sehingga iterasi berikutnya persis seperti kasus (i). Untuk kasus-kasus f(a ) dan f"(x) yang lain dapat diturunkan secara serupa.





  1. Analisis Galat Metode Newton – Raphson

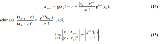
Dengan menggunakan hipotesis tentang fungsi f dan akar sederhana r pada bagian B, misalkan En menyatakan galat hampiran Newton pada iterasi ke-n, yakni . En = r – xn. Oleh karena f'(r)¹ 0 dan f ' kontinyu, maka f'(x)¹  0 untuk nilai-nilai xn yang dekat dengan r . Demikian pula, misalkan f(xn )¹ 0 , sehingga dengan menggunakan Teorema Taylor diperoleh

dengan cn terletak antara xn dan r . Oleh karena f(r)= 0 dan  f(xn )¹ 0 , maka dari rumus iterasi (17) diperoleh


Apabila iterasi (17) konvergen, maka dan r jika . xn (r) r dan cn (r) r jika n (r) ¥. Dengan demikian didapatkan



Persamaan (20) menyatakan bahwa kekonvergenan iterasi Newton ke akar sederhana bersifat kuadratik. Selanjutnya ditinjau kasus akar ganda. Jika r adalah akar ganda berderajad m > 1 , maka f (x ) dapat dinyatakan sebagai f(x) = (x-r)m h(x) dengan h adalah fungsi kontinyu yang bersifat h(r)¹ 0 . Selanjutnya,

Oleh karena itu, dari definisi (4) diperoleh

Sehingga

sehingga |g’(r) |m-1m= < 1 karena m > 1 . Berdasarkan Akibat 1 dapat dicari suatu interval yang memuat r dan hampiran awal yang menjamin iterasi:


konvergen ke r . Selanjutnya, dari (23) dapat diturunkan galat iterasi

mengingat h(r)¹ 0 . Persamaan pada (26) sesuai dengan hasil (12). Dari (26) diketahui bahwa kekonvergenan iterasi Newton – Raphson ke akar ganda bersifat linier. Hasil-hasil di atas dapat dirangkum dalam teorema sebagai berikut


Teorema 4 (Laju Kekonvergenan Iterasi Newton – Raphson) 

Misalkan barisan barisan{xn}0¥ yang dihasilkan oleh iterasi (5) konvergen ke r , di mana f(r)= 0 . Misalkan En menyatakan galat hampiran Newton pada iterasi ke-n, yakni . En = r - xn. 

Jika r akar sederhana, maka kekonvergenan tersebut bersifat kuadratik, yakni

Jika r akar ganda berderajad m > 1 , maka kekonvergenan tersebut bersifat linier, yakni

Selanjutnya akan ditinjau alternatif lain pemilihan hampiran awal x0 yang sesuai untuk menjamin kekonvergenan iterasi Newton – Raphson. Untuk kasus akar sederhana, dari (19) dapat diperoleh hubungan

untuk nilai-nilai xn yang dekat dengan r , dengan l =f"(r)2f'(r), mengingat f'(r)¹ 0 . Dengan asumsi semua xn dekat dengan r , secara induktif diperoleh

Jadi, agar iterasi (5) konvergen ke akar sederhana r , maka hampiran awal x0 harus dipilih yang memenuhi (28). Terlihat, jika nilai mutlak l cukup besar, maka x0 harus dipilih cukup dekat dengan r . Akan tetapi, oleh karena r mungkin tidak diketahui, maka jika demikian nilai l juga tidak diketahui. Dalam hal ini, hampiran awal dapat dipilih berdasarkan Teorema 2. Pemakaian hampiran awal sebarang tidak menjamin kekonvergenan iterasi Newton


  1. Implementasi Metode Newton-Raphson

Program MATLAB yang mengimplementasikan metode NR, yakni nrsym.m, telah di- susun oleh peneliti. Untuk perbandingan juga disusun program yang mengimplementasikan metode NR termodifikasi (mnrsym.m) untuk akar ganda. Pada program-program MATLAB tersebut digunakan kriteria selisih kedua hampiran terakhir, hampiran galat relatif iterasi tera- khir, dan nilai fungsi. Untuk menghindari pembagian dengan nol pada perhitungan galat relatif tersebut digunakan nilai eps ( = 2.2204x10-16 ), yang pada MATLAB merupakan nilai keaku- ratan relatif titik mengambang (floating point relative accuaracy). Untuk mengetahui pe-rilaku fungsi di sekitar hampiran awal, program nrsym.m dan mnrsym.m, selain melakukan iterasi juga menghasilkan gambar kurva fungsi dan turunannya.

Penggunaan program-program MATLAB tersebut memerlukan masukan berupa fungsi (harus), derajad akar (khusus dan wajib untuk program mnrsym.m), hampiran awal (opsional), batas toleranasi galat (opsional), dan maksimum iterasi dilakukan (opsional), serta parameter untuk menentukan format tampilan hasil. Pada kedua program tidak diperlukan masukan turunan fungsi, karena program akan menghitung sendiri turunan fungsi yang diberikan. Fungsi dapat dituliskan dalam bentuk ekspresi (rumus) atau variabel yang menyimpan ekspresi terse- but. Apabila masukan opsional tidak diberikan, program akan menggunakan nilai-nilai default, yakni hampiran awal 0 x = 0 , batas toleransi 15 d 10- = dan maksimum iterasi N = 50 . Petunjuk selengkapnya sudah dituliskan di dalam program, yang dapat ditampilkan dengan menuliskan perintah help nama_program.

Pemilihan hampiran awal dan nilai batas toleransi dapat mempengaruhi konvergensi iterasi. Di depan sudah diuraikan beberapa syarat cukup untuk menentukan hampiran awal agar iterasi Newton. Akan tetapi, syarat-syarat tersebut hanyalah merupakan syarat cukup, tidak merupakan syarat perlu, sehingga pemakaian hampiran awal yang tidak memenuhi syaratsyarat pada Teorema 2 maupun Teorema 3 boleh jadi akan menghasilkan iterasi yang konvergen. Di sinilah perlunya dilakukan eksperimen (perhitungan secara numerik) dengan menggunakan program-program yang telah disusun. Eksperimen juga dapat digunakan untuk memverifikasi hasil-hasil analisis di atas.

  1. Kriteria Berhenti Iterasi 

Metode pada Newton Raphson sendiri memiliki kriteria yaitu, dimana Newton-Raphson bisa diiterasikan. Misalkan f = [a, b] dianggap R adalah terturunkan yang terdefinsi pada selang [a, b], dengan nilai merupakan nilangan riil R. (Dyer, 2002). 

Dalam menentukan kriteria berhenti dari newton raphson sendiri ditentukan dari kriteria satu titik. Yaitu dimana x menggunakan metode iterasi dan menjadi x=gx.sehingga persamaan iterasi pada Newton-Raphson adalah xi+1=gx (Munir, 2010). Sehingga keperluan Newton-Raphson dalam iterasi adalah :

vn+1= vn-fvnf'vn

Ketika mendapatkan hasil dengan kriteria yang sesuai dengan persamaan akar divergen atau konvergen, maka dapat ditetapkan nilai toleransi untuk menentukan banyak iterasi. Ketika menentukan nilai toleransi, iterasi newton raphson berhenti bila |vn+1- vn|<ε, dengan ε adalah tetapan (toleransi) yang telah ditentukan.

Contoh 1 :

C:\Users\LENOVO\Pictures\Screenshots\Screenshot (555).png

Dengan nilai awal x0,y0= 2,2akan ditentukan penyelesaian dari persamaan (14).

Penyelesaian :

Menentukan nilai iterasi pertama A1 pada persamaan (14) dengan metode newton-raphson ganda adalah sebagai berikut :

Adapun langkah-langkah yang dilakukan yaitu :

  • Iterasi pertama :

C:\Users\LENOVO\Pictures\Screenshots\Screenshot (556).png

C:\Users\LENOVO\Pictures\Screenshots\Screenshot (556).png

C:\Users\LENOVO\Pictures\Screenshots\Screenshot (557).png

= 2,535114343324145

karena nilai nomor galat pertama ‖E1>E  maka iterasi dilanjutkan, untuk hasil dari iterasi kedua dan seterusnya dapat dilihat pada Tabel 1 berikut ini:

C:\Users\LENOVO\Pictures\Screenshots\Screenshot (558).png

Tabel 1 menunjukkan hasil semua iterasi dari solusi sistem persamaan nonlinear pada Persamaan (14) dengan iterasi sebanyak lima kali dengan solusi akhir yang didapat yaitu untuk x  =2,193439415415308 dan y=   3,020466468123034.

C:\Users\LENOVO\Pictures\Screenshots\Screenshot (558).png

Tabel 2 menunjukkan perhitungan galat pada iterasi xn = 0 dan galat pada iterasi yn =0. Kedua galat iterasi tersebut digunakan untuk mendapatkan nilai ‖E n. Iterasi akan berhenti jika nilai ‖E n kurang dari galat toleransi yang diberikan. Nilai awal A0 pada Persamaan (14) iterasi norm galat berhenti pada iterasi kelima yaitu dengan nilai En=0

Iterasi akan dilakukan sampai kriteria berhenti terpenuhi, dan selama belum terpenuhi, maka iterasi akan melakukan perulangan. Kriteria berhenti dari sistem ini akan dilakukan sebanyak maks-iterasi yang didefinisikan.

  1. Kriteria Penghentian Iterasi Berdasarkan Galat Iteratif 

Galat iteratif adalah selisih perkiraan solusi iterasi sekarang dengan perkiraan solusi iterasi sebelumnya, yang disebut sebagai galat iteratif. Rumus galat iteratif adalah :

Ek=pk-pk-1........................................................................(1)

Dengan :

Ek :galat iteratif pada iterasi ke-k 

pk : nilai solusi hampiran terbaik iterasi ke-k (iterasi saat ini) 

pk-1 : nilai solusi hampiran terbaik iterasi ke-(k-1) (iterasi sebelumnya)

  1. Kriteria Penghentian Iterasi Berdasarkan Kriteria Cauchy 

Kriteria Cauchy digunakan untuk memeriksa jarak dua barisan solusi hampiran dengan cara menghitung nomor dari selisih dua barisan tersebut dan kemudian membandingkannya dengan sebuah nilai toleransi (Cannas, 2016: 34). Barisan solusi pada algoritma iteratif sering disebut sebagai vektor solusi. Rumus galat iteratif berdasarkan kriteria Cauchy adalah :

C:\Users\LENOVO\Pictures\Screenshots\Screenshot (559).png

(Estri, 2018)


  1. Jebakan pada Metode Newton-Raphson 

Metode Newton Rapshon sering digunakan karena kesederhanaannya dan mempunyai konvergensi yang cepat. Karena metode ini merupakan metode Terbuka, maka tetap diperlukan nilai tebakan awal. Jika terkaan awal pada akar adalah xi, sebuah garis singgung (tangen) dapat ditarik dari titik [xi,f(xi)]. Titik dimana garis singgung ini memotong sumbu biasanya menyatakan taksiran akar yang lebih baik. Titik pendekatan ke n+1 dituliskan dengan (berdasarkan tafsiran geometris):

Untitled(1)

 Metode Newton Raphson dapat digambarkan sebagai berikut:

Untitled

Gambar 1. Pencarian akar menggunakan metode Newton Raphson

Untitled

Gambar 2. Grafik Metode Newton-Raphson

Dikutip dari: Steven C. Chapra & Raymond P. Canale (2002). Numerical Methods for Engineers, chapter 5

 

5.1 Penurunan dan Analisis Galat Metode Newton-Raphson dari Uraian Deret Taylor

Selain dari penurunan geometri, metode Newton-Raphson juga dapat dikembangkan dari Uraian deret Taylor. Penurunan alternatif ini berguna dalam memberikan wawasan tentang laju kekonvergenan metode. Berikut diulas mengenai derer Taylor sebagai

Untitled

dimana terletak sembarang dalam selang xi sampai xi+1.  Suatu versi hampiran dapat diperoleh dengan memotong deret setelah suku turunan pertama:

Untitled

Pada perpotongan dengan sumbu xf(xi+1) akan sama dengan nol, atau:

Untitled

yang dapat diselesaikan untuk :

Untitled

yang identik dengan persamaan (1). Jadi kita sudah menurunkan rumus Newton-Raphson dengan memakai deret Taylor.

Selain dari penurunan, deret Taylor juga dapat dipakai untuk menaksir galat rumus tersebut. Ini dapat dikerjakan dengan menyadari bahwa jika digunakan deret Taylor yang lengkap, maka akan diperoleh hasil yang esak.

  1.  Algoritma Metode Newton-Raphson

  1. Definisikan fungsi f(xo) dan f’(x).

  2. Ambil range nilai x=[a,b] dengan jumlah pembagi n.

  3. Tentukan batas toleransi kesalahan (e) dan iterasi maksimumnya (n).

  4. Tentukan nilai pendekatan awalnya, x0.

  5. Hitung f(x0) dan f’(x0).

  6. Untuk iterasi i = 1… n atau dengan batas f(xi)>e  

Untitled

  1. Akar persamaan adalah nilai xi yang terakhir diperoleh.

Untitled

Contoh:

  1. Gunakan Metode Newton untuk mendapatkan akar persamaan:

Untitled

Secara jelas, sebuah akar berada antara 2 dan 3 karena f(2)=-3 dan f(3)=13. Kita memilih xo=3 dan mendapatkan secara suksesif:

x1 = 3 – (13/24) = 2.46

x2 = 2.295 ; x3 = 2.279 ; x4 = 2.279

  1. Selesaikan persamaan: Untitled

Penyelesaian:

Dengan menggunakan titik pendekatan awal xo=0,176281

Turunan pertama dari fungsi itu dapat dievaluasi sebagai :

Untitled

sehingga f(xo)=1.086282 dan f'(xo)=-0.000015

UntitledUntitled

UntitledUntitled

5.3  Jebakan-Jebakan yang Terdapat pada Metode Newton-Raphson

Walaupun metode Newton-Raphson biasanya sangat efisien, terdapat situasi dimana ia berjalan dengan buruk. Bilamana menangani akar-akar yang sederhana, kadangkala timbul kesukaran.

Selain dari kekonvergenan yang lambat karena sifat alami dari fungsi tersebut, kesukaran lain dapat timbul. Misalnya terjadi kasus dimana suatu titik balik (inflection point) yang terjadi di suatu akar. Akan terjadi bahwa iterasi dimulai pada xo yang semakin lama semakin menjauhi akar, berayun (oscillations) memutari suatu minimum atau maksimum lokal. Suatu kemiringan nol [f'(x)=0] merupakan bencana yang nyata karena ia menyebabkan adanya pembagian dengan nol dengan rumus Newton-Raphson.

Satu-satunya pengobatan untuk situasi ini adalah dengan mempunyai tekanan awal yang dekat ke akar. Pengetahuan ini, tentu saja mendasarkan pada pengetahuan tentang keadaan masalah fisis atau sarana seperti grafik yang memberikan wawasan berkenaan dengan perilaku penyelesaian. Disarankan juga bahwa perangkat lunak komputer yang baik harus dirancang untuk mengenali kekonvergenan atau kedivergenan yang lambat.


















BAB III 

PENUTUP

  1. Kesimpulan

Berdasarkan pembahasan pada bab diatas maka dapat disimpulkan, yaitu :

  1. Transformasi dapat dikerjakan dengan manipulasi aljabar atau dengan penambahan sederhana x ke kedua ruas pada persamaan asalnya (Chapra, 1985) .  Metode iterasi titik tetap ( iterasi sederhana ) merupakan metode yang memisahkan antara X dengan X yang lain, sehingga mendapatkan x=g(x).

  1. Grafik atau plot pada MATLAB berfungsi untuk merepresentasikan data sehingga lebih mudah untuk dilihat secara keseluruhan. Cara membuat grafik di MATLAB dapat dilakukan dengan berbagai formulasi command dengan fungsi yang beragam. Secara umum terdapat 2 jenis plot yaitu plot 2 Dimensi dan plot 3 Dimensi. 

  2. Pemilihan hampiran awal dan nilai batas toleransi dapat mempengaruhi konvergensi iterasi. Di depan sudah diuraikan beberapa syarat cukup untuk menentukan hampiran awal agar iterasi Newton.

  3. Iterasi akan dilakukan sampai kriteria berhenti terpenuhi, dan selama belum terpenuhi, maka iterasi akan melakukan perulangan. Kriteria berhenti dari sistem yang akan dilakukan sebanyak maks-iterasi yang didefinisikan.

  4. Metode Newton-Raphson biasanya sangat efisien, terdapat situasi dimana ia berjalan dengan buruk. Bilamana menangani akar-akar yang sederhana, kadangkala timbul kesukaran. Selain dari kekonvergenan yang lambat karena sifat alami dari fungsi tersebut, kesukaran lain dapat timbul. Satu-satunya pengobatan untuk situasi ini adalah dengan mempunyai tekanan awal yang dekat ke akar. Disarankan juga bahwa perangkat lunak komputer yang baik harus dirancang untuk mengenali kekonvergenan atau kedivergenan yang lambat.



  1. Saran

Dengan tersusunnya makalah ini diharapkan memberikan dampak positif kepada pembaca untuk memahami materi tentang Metode Terbuka : Iterasi Satu Titik Sederhana, Newton Raphson yang meliputi : Modifikasi Persamaan , Metode 2 Grafik , Metode Newton-Raphson, Kriteria Berhenti Iterasi dan Jebakan pada Metode Newton-Raphson. 



















DAFTAR PUSTAKA

Chapra, S. C. (1985). Metode Numerik untuk Teknik. Jakarta  : Universitas Indonesia

Dwi, B. (2011). Metode Numerik. Surabaya : Universitas Brawijaya

Dyer, C. K. (2002). Fuel cells for portable applications. Journal of Power Sources106(1-2), 31-34.

Munir, R. (2010). Metode numerik (revisi ketiga), 366, Informatika, Bandung, Indonesia.

Devitriani, M. K. ANALISIS METODE NEWTON-RAPHSON GANDA ORDE KONVERGENSI EMPAT DALAM MENYELESAIKAN SISTEM PERSAMAAN NONLINEAR. Bimaster: Buletin Ilmiah Matematika, Statistika dan Terapannya8(2).

Estri, M. N., Nurshiami, S. R., Reorita, R., & Ibrohim, M. O. (2018). Penentuan kriteria penghentian iterasi pada algoritma stroberi. Jurnal Ilmiah Matematika Dan Pendidikan Matematika10(1), 27-38.

Cannas, E. D., Parallel Computing: A Comparative Analysis Using Matlab, Tesis, Universita Degli Studi Di Cagliari, Clagiari, 2016.

Atkinson, Kendal (1993). Elementar Numerical Analysis. second edition. John Wiley & Sons, Singapore.

Borse, G.J (1997). Numerical Methods with MATLAB, A Resource for Scientiests and Engi- neers. PWS Publishing Company, Boston.

Conte, Samuel D. & Carl de Boor (1981). Elementary Numerical Analysis, An Algorithmic Ap- proach. 3rd edition. McGraw-Hill Book Company, Singapore

Gerald, Curtis F. & Patrick O. Wheatly (1994). Applied Numerical Analysis. 5th edition. Addi- son-Wisley Pub. Co., Singapore

Jacques, Ian & Colin Judd (1987). Numerical Analysis. Chapman and Hall, New York. Mathews, John Steven C. Chapra, Raymond P. Canale, 2002, Numerical Methods for Engineers. (bab 5; Hal: 135-139)

Bambang Dwi, Metode Numerik, FTP Universitas Brawijaya. (Hal 63-65)


Komentar